Environmental Aspects
Eco-Friendly
The Rotax 912 iSc allows the use of three different kinds of fuel: MOGAS, AVGAS-100 and E10 (MOGAS with 10% ethanol). This section analyses the pros and cons of each fuel in order to evaluate it:
a)MOGAS: It is considerably more inexpensive than its counterpart AVGAS. MOGAS is a lead-free fuel which prolongs the lifespan of certain engine components like the valves. This translates in reduced maintenance cost. All together operating with MOGAS is notably cheaper than operating the same engine with AVGAS.
b)AVGAS: As the name suggests, it contains a small amount of tetraethyllead (TEL), an organolead compound that boosts the octane rating. The combustion products of TEL have neurotoxic effects which have led to TEL slowly being phased out of both automotive fuel, where it is only used in racing fuel and aviation fuel, where its presence has decreased with time.Thus, AVGAS is notably less environmental friendly than MOGAS.
c)Bioethanol: The ROTAX 912iSc is also certified to operate with gasolina blended with 10% etanol. This mixture receives the name of Ethanol E10. If the etanol is obtained by the means of biomass conversion, the fuel is called Bioethanol. It presents several advantages but also disadvantages when compared to regular MOGAS. On the one hand, the ethanol contained in the mixture absorbs water, maintaining a very low humidity level in the fuel and engine system. The ethanol also increases the octane rating of the fuel, allowing greater compression rates or operating with fuel-air mixtures closer to the stoichiometric one. Furthermore, operation with Bioetanol produces less Greenhouse Effect Gases compared to operating the same engine with MOGAS, as will be discussed later. On the other hand, Biofuel can potentially be more corrosive to metals and composite materials than regular fuel. This phenomenon occurs if the biofuel absorbs too much humidity. At high quantities, a dissociation of the mixture may occur, leading to an accumulation of a water-ethanol compound at the bottom of the fuel tank, pumps, gauges etc. This compound is highly corrosive. Studies have been carried out to develop mechanisms to drain this mixture from fuel tanks. EASA carried out a study of the implementation of Bioetanol in various engines commonly installed in light and very light aircraft. One of the models was the ROTAX 912 ULS from the same family as the 912 iSc:
 |
The results are that the exhaust temperature grows with the percentage of ethanol in the mixture. This is closely related to
as can be seen on the following graph:
Since the aircraft does not have a catalyst installed,
emission levels are closely related to exhaust temperature. Therefore Biofuel emits more nitrogen oxides than conventional MOGAS in absence of a catalyst.
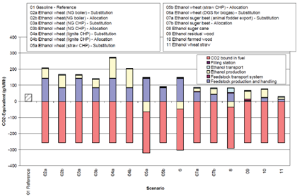
The report also studies the emissions of
.
The graph above plots the equivalent generated emissions of
during the production of gasoline (leftmost column) and different bioetanols. The section of the column below cero represents the absorbed
by the biomass during the growth of the plants.The result is that most production ways of Bioethanol have significantly reduced emissions compared to gasoline.
Regarding the emissions of the combustion, the study shows that the combustion of all biofuels emits between 10 and 17% less
than regular gasoline. Hence, the engine mounted on the aeroplane can operate with MOGAS, AVGAS and Bioethanol E10. The usage of MOGAS and Bioethanol has a lesser impact on the environment.